EE 504, Spring 2004
 Course Home
 Syllabus
 Calendar
 Handouts

EE 504:  Adaptive Signal Processing, Spring 2004 

Homeworks

  • Homework #1 (Due: March 10)   -   Solutions: 1 , 2 , 3 , 4
  • Homework #2 (Due: March 17)   -   Solutions: 1 , 2 , 3
  • Homework #3 (Due: March 31)   -   Solutions: 1 , 2 , 3 , 4 , 5 , 6 , 7 , 8 , 9 , pr4.m
  • Homework #4 (llms.m convolm.m)   -   Solutions: 1 , 2 , 3 , 4 , Solutions by Evren Imre
  • Homework #5 (Due: May 10)   -   Solutions: 1 , 2 , 3 , 4 , 5 , 6 , 7 - Matlab Files
  • Homework #6 (Due: May 21)   -   Solutions: Ozlem Ozgun's Solutions hw6.m , hw6e.m , slwin_rls.m.

    Other

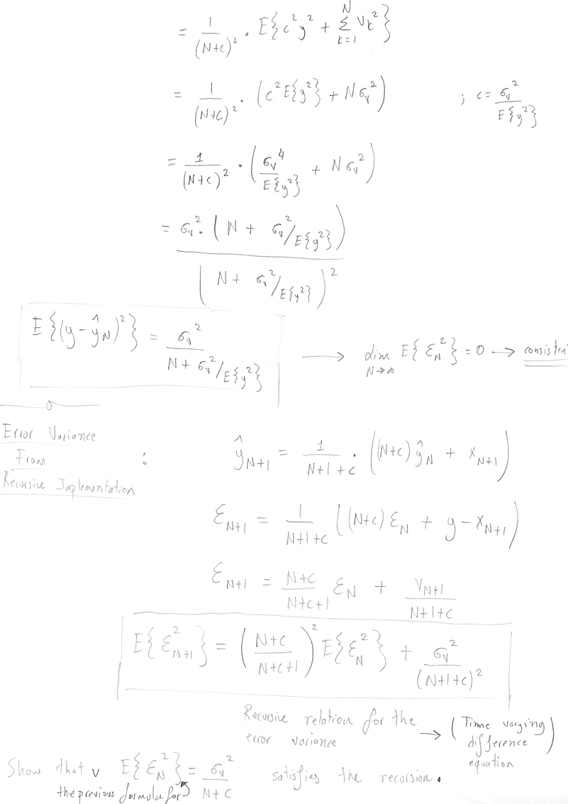
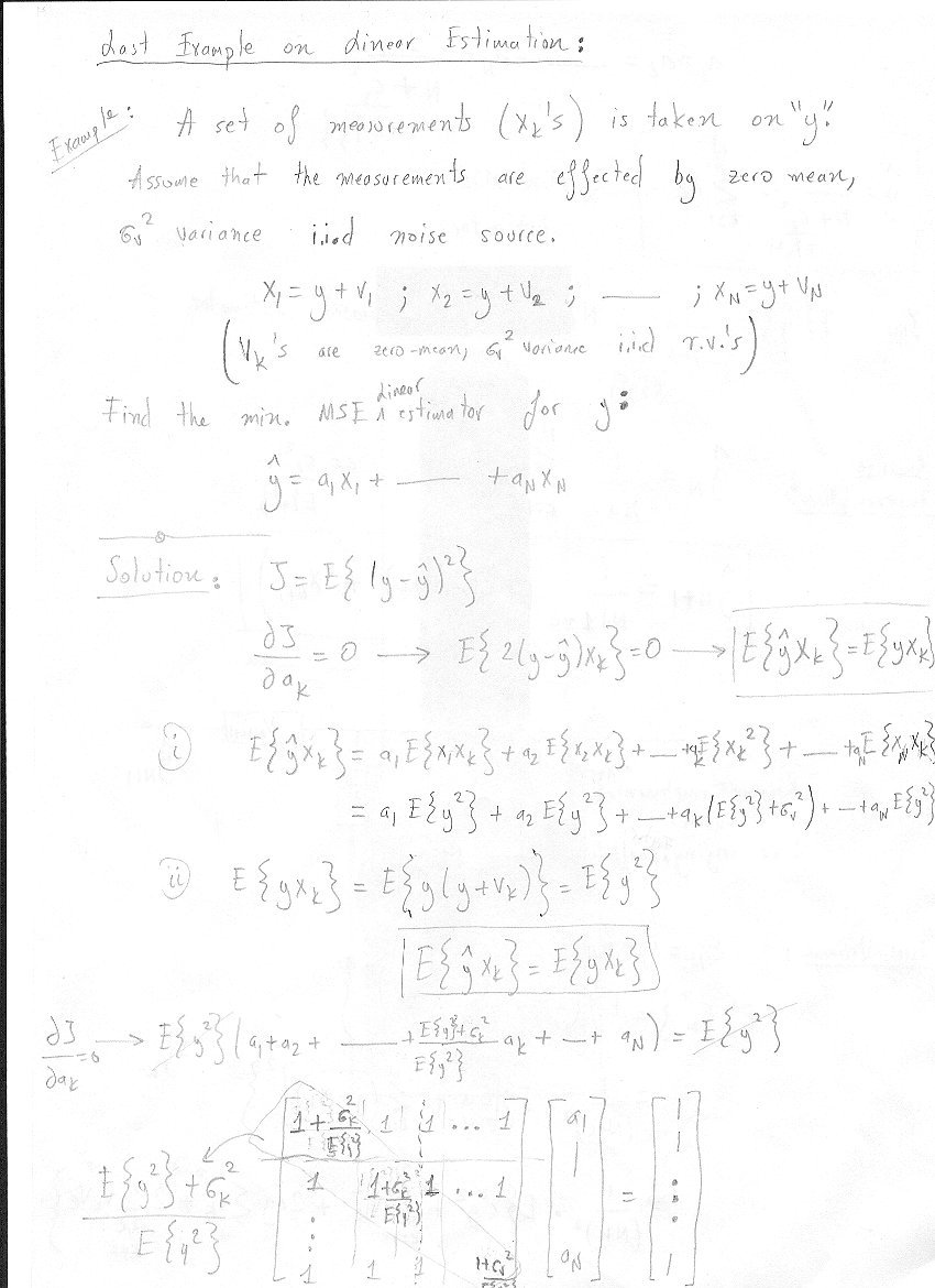
  • Correction: Example On Linear Estimation (March 3): 1 , 2 , 3.
  • Reading Assignment: Painless Introduction to Conjugate Gradients
    (Read sections on the steepest descent method, up to page 17.)
  • Supplementary Reading: Adaptive IIR Filters (Shynk, 1989)
  • Historical notes about Wiener: Lee - Wiener Legacy (Signal Processing Mag. Nov 2002)
  • Midterm #1 Solutions 504_MT1.pdf
  • Feintuch's original paper on IIR filtering with two responses. Feintuch's Paper with responses
  • *** A Must-see JAVA Applet for adaptive filters***
    It has almost all of the methods we have discussed in class. Very nice to compare different techniques. NEW
  • Solutions of the Final Exam: pdf file , zip file (same as the pdf file) NEW

    A Statistical Examination Of Course Scores
    The correlation coefficient of exam and homework rankings are calculated below.

    To calculate the correlation coefficient, the scores of each evaluation is sorted from highest to lowest and the correlation coefficient between two evaluation types is estimated from the class population (49 students).

    The overall score is a weighted average of all evaluation scores. The weights for this course are:

    overall_score = 0.10 * sum(hw)/200 + 0.25 * exam1 + 0.30 * exam2 + 0.35 * final

    Here are the correlation coefficients of homework and exam rankings:

    Corr.
    Coef.
    hw
    rank
    ex1
    rank
    ex2
    rank
    final
    rank
    overall
    rank
    hw
    rank
    1.00 0.41 0.25 0.65 0.61
    ex1
    rank
    0.41 1.00 0.58 0.63 0.77
    ex2
    rank
    0.25 0.58 1.00 0.55 0.81
    final
    rank
    0.65 0.63 0.55 1.00 0.89
    overall
    rank
    0.61 0.77 0.81 0.89 1.00

    Comment : Note that homework assignments are only the 10 % of the final course score. The correlation coefficient of homework rankings and the final rankings (grade distribution) is *the* interesting data of the table. Any value above 0.1 indicates that working out the homework problems helps you in the exams. Remember that we made the solutions available to everyone, so just looking at the solutions and learning how to solve the problems in the set does not help you as much as trying to solve them by yourselves.

    Conclusion : Spending time on homeworks pays off. You should have asked for more homeworks!


  •